Trigonometride Toplam-Fark Formülleri
\(30\degree,45\degree,60\degree\) gibi trigonometrik değerleri bilinen açıların toplamı veya farkı olarak yazılabilen \(15\degree,75\degree,105\degree\) ve \(165\degree\) gibi açıların trigonometrik değerlerini toplam-fark formüllerini kullanıp bulabiliriz.
Sinüs İçin Toplam ve Fark Formülleri
a ve b birer reel sayı olmak üzere,
- \(sin(a+b) = sina.cosb + cosa.sinb\)
- \(sin(a-b) = sina.cosb - cosa.sinb\)
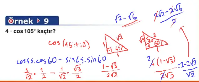
Kosinüs İçin Toplam ve Fark Formülleri
a ve b birer reel sayı olmak üzere,
- \(cos(a+b) = cosa.cosb - sina.sinb\)
- \(cos(a-b) = cosa.cosb + sina.sinb\)
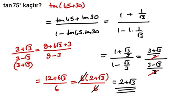
Tanjant İçin Toplam ve Fark Formülleri
Tanımlı olduğu aralık içerisinde,
\[tan(a+b)=\frac{tana + tanb}{1 - tana.tanb} \]
\[tan(a-b)=\frac{tana - tanb}{1 + tana.tanb} \]
Kotanjant İçin Toplam ve Fark Formülleri
Tanımlı olduğu aralık içerisinde,
\[cot(a+b)=\frac{1}{tan(a+b)} \]
\[cot(a-b)=\frac{1}{tan(a-b)} \]
Yazılır ve tanjant toplam-fark formülleri kullanılır.
İki Doğru Arasındaki Açının Tanjantı

Şekildeki AB ve DE doğruları arasındaki açı \(\theta\) dır. ACE üçgeninde, \(a = \beta + \theta\) ve \(\theta = a - \beta\) olur.
Bu doğrular arasındaki açının tanjantı, \(tan a = m_1\) ve \(tan\beta = m_2\) olmak üzere;
\[tan\theta = tan(a-\beta)=\frac{tan a - tan\beta}{1+\tan{a}.\tan{\beta}}=\frac{m_1-m_2}{1+m_1.m_2} \]
Yani, eğimleri \(m_1\) ve \(m_2\) olan içi doğru arasındaki açının ölçüsü \(a\) ise;
\[\tan{a}=\frac{m_1-m_2}{1+m_1.m_2} \]
Şeklinde ifade edilebilir.
Questions
Sinüs Toplam-Farkı








Kosinüs Toplam-Farkı









- Yanlış yazmışım. Cevap: \(4\sqrt{2} + \sqrt{5}\)

Tanjant Toplam-Farkı









- 28/15 değil, -28/15 olacak.
- Bu sebeple cevap da -13/84 olmalı.


İki Doğru Arasındaki Açının Tanjantı
