Limit ve Süreklilik
Yaklaşma Kavramı

- x değişkeni bir a gerçek sayısına a'dan daha küçük değerler ile artarak yaklaşıyorsa x, a'ya soldan yaklaşıyor denir ve \(x\rightarrow a^-\) ile gösterilir.
- x değişkeni bir a gerçek sayısına a'dan büyük değerler ile azalarak yaklaşıyorsa x, a'ya sağdan yaklaşıyor denir ve \(x\rightarrow a^+\) ile gösterilir.
\(L_1\) gerçek sayısına \(f(x)\) fonksiyonunun x=a noktasındaki soldan limiti denir ve \(lim_{x\rightarrow a^-}f(x)=L_1\) ile gösterilir.

\(L_2\) gerçek sayısına \(f(x)\) fonksiyonunun x=a noktasındaki sağdan limiti denir ve \(lim_{x\rightarrow a^+}f(x)=L_2\) ile gösterilir.

c sayısına iki yönden yaklaşım yapılabilir.
\(lim_{x\rightarrow c^+}f(x)=d\) ve \(lim_{x\rightarrow c^-}f(x)=d\)

Sağdan ve soldan limitin değerleri farklı gelebilir.

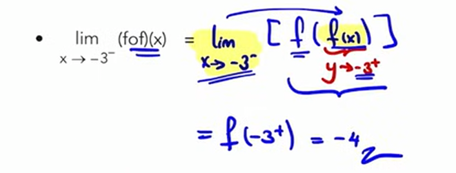
f(x) fonksiyonunun x=a noktasındaki sağdan ve soldan limitleri birbirine eşit ise fonksiyonun x=a noktasında limiti vardır denir.
- \(lim_{x\rightarrow a^-}f(x)=lim_{x\rightarrow a^+}f(x) \Longrightarrow lim_{x\rightarrow a}f(x)\) vardır.
- f(x) fonksiyonunun x=a noktasındaki sağdan ve soldan limitleri eşit değilse fonksiyonun bu noktada limiti yoktur.
- Bir fonksiyonun grafiği üzerindeki kopukluk olan noktalara kritik noktalar denir.
- Kritik noktalarda limit araştırılırken sağdan ve soldan limitleri incelenir.
- Eğer limit araştırılan nokta, kritik nokta değilse fonksiyonun limiti, fonksiyonun o noktadaki değerine eşittir.
- Bir fonksiyonun bir noktada limitinin olması için o noktada tanımlı olmasına gerek yoktur.
- (Limit alınan noktanın hemen sağında veya hemen solunda tanımlı olmalı)
- Bir fonksiyonun bir noktadaki limiti, fonksiyonun o noktadaki değerinden farklı olabilir.
- x değerleri a'ya sağdan yaklaşırken görüntüler de b'ye b'den küçük değerelrle yaklaşmaktadır.
- \(x\rightarrow a^+\) iken \(y\rightarrow b^-\)
- x değerleri a'ya soldan yaklaşırken görüntüler de c'ye c'den büyük değerlerle yaklaşmaktadır.
- \(x\rightarrow a^-\) iken \(y\rightarrow c^+\)
Bir Aralığın Uç Noktalarında Limit
\(f:[a,b)\rightarrow R\) biçiminde tanımlanan f fonksiyonunun grafiği şekildeki gibi olsun

- f'nin a noktasındaki limiti sadece sağdan limitle belirlenir.
- \(lim_{x\rightarrow a^+}f(x)=y_1\)
- f'nin b noktasındaki limiti sadece soldan limitle belirlenir.
- \(lim_{x\rightarrow b^-}f(x)=y_2\)
Questions




- Bir noktada limit varsa sağ ve sol limitleri birbirine eşittir.
- Eğer fonksiyon kopuk değilse o noktada x yerine her sağdan ve soldan yaklaşmada direkt olarak -3 yazabiliriz.






- Fonksiyon her ne kadar -2 ve -1 arasında tüm değerlerde tanımlı olsa da, parçalı ve kopuk bir fonksiyon olabilir ve kritik noktalarda limiti olmayabilir (sağdan ve soldan yaklaşma birbirine eşit olmayacağından). Bu sebeple ilk seçenek yanlıştır.
- İkinci seçenek doğrudur çünkü fonksiyon x'in alacağı tüm reel sayılarda tanımlı olacağından soldan ve sağdan limit her zaman vardır. Sadece bunlar birbirine eşit olmayabilir.
- Üçüncü seçenek yanlıştır çünkü fonksiyon x=-2 noktasında kopuk olmayabilir ve orada limit olabilir.


