Limit-2
Limitin Özellikleri
Sabit Fonksiyon
\(c\in R\) için
\(\lim\limits_{x\to a}c=c\)

Fonksiyonun kritik olmayan bir noktasında isek, veya fonksiyonun kritik noktası yoksa, gidilen sayı x olarak alınabilir.
\(\lim\limits_{x\to -1}f(x)=f(-1)\)
\(L_1\in R, L_2\in R, f: A\to R\) olmak üzere
\(\lim\limits_{x\to a}f(x)=L_1\) ve \(\lim\limits_{x\to a}g(x)=L_2\)
- \(c\in R\) için; \(\lim\limits_{x\to a}[c.f(x)]=c.\lim\limits_{x\to a}f(x)=c.L_1\)
- \(\lim\limits_{x\to a}[f(x)\pm g(x)]=\lim\limits_{x\to a}f(x)\pm \lim\limits_{x\to a}g(x)=L_1\pm L_2\)
- \(\lim\limits_{x\to a}[f(x).g(x)]=\lim\limits_{x\to a}f(x).\lim\limits_{x\to a}g(x)=L_1.L_2\)
- \(\lim\limits_{x\to a}g(x)\) != 0 olmak üzere
- \(\lim\limits_{x\to a}[\frac{f(x)}{g(x)}]=\frac{\lim\limits_{x\to a}f(x)}{\lim\limits_{x\to a}g(x)}=\frac{L_1}{L_2}\)
- \(\lim\limits_{x\to a}c^{f(x)}=c^{\lim\limits_{x\to a}f(x)}=c^{L_1}\)

Polinom Fonksiyonların Limiti
Polinom fonksiyonların kritik noktası yoktur. Bu sebeple polinom fonksiyonlarda her noktadaki limit değeri, o noktadaki fonksiyonun değerine eşittir.
- \(\lim\limits_{x\to c}P(x)=P(c)\)




Mutlak Değerli Fonksiyonların Limiti
Eğer limitin gittiği yer kritik nokta değilse mutlak değer dışarı çıkartılabilir.
\[\lim\limits_{x\to a}|f(x)|=|\lim\limits_{x\to a}f(x)| \]
\(y=|f(x)|\) mutlak değer fonksiyonunun kritik noktalarında sağdan soldan limite bakılır.
Diğer noktalarda ise limit için fonksiyonun görüntüsüne bakılır.
- \(\lim\limits_{x\to a}|f(x)|=|f(a)|\)
Mutlak değerli ifade kritik nokta olup olmadığını anlamak için sıfıra eşitlenir. Eğer x'in sonucu (kritik nokra), limitin gittiği yer değilse, gidilen yer fonksiyona aynen yazılabilir.
Eğer limitin gittiği değeri mutak değerli fonksiyon içine yazınca cevap sıfır çıkıyorsa, o nokta kritik noktadır.
Her mutlak değerli fonksiyon aynı zamanda parçalı fonksiyondur.




k pozitif bir tam sayı olmak üzere
\[ \lim\limits_{x\to a}[f(x)]^k=[\lim\limits_{x\to a}f(x)]^k \]

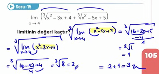
n > 2 ve n tek doğal sayı için
\[ \lim\limits_{x\to a}\sqrt[n]{f(x)}=\sqrt[n]{\lim\limits_{x\to a}f(x)} \]\(n\ge 2\) ve n çift doğal sayısı için, \(f(x)\ge 0\) ve \(\lim\limits_{x\to 0}f(x)\ge 0\) ise
\[ \lim\limits_[x\to a]\sqrt[n]{f(x)}=\sqrt[n]{\lim\limits_{x\to a}f(x)} \]

Bunun gibi sorularda, limitin gittiği sayıyı direkt yazamıyorsan ve cevabı tanımsız oluyorsa, sadeleştirme ara.










