Kimyasal denge bağıntısı nasıl yazılır
Fiziksel ve Kimyasal Denge

Fiziksel ve kimyasal olaylarda zıt yönlü gerçekleşebilen olayların her iki yöndeki hızlarının eşit olması durumu dinamik denge olarak tanımlanmaktadır.
- Kapalı bir kaba konulan su bir süre sonra sıvı-buhar dengesine ulaşır. İlk anda buharlaşma hızı, yoğuşma hızından fazladır. Zamanla yoğuşma hızı artar. Bir süre sonra yoğuşma hızı ile buharlaşma hızı eşitlenir.
- Suya aşğırı miktarda AgCl tuzu atıldığında tuz çözünmeye başlar ve bu arada çökme olayı da geriye doğru başlar. Başlangıçtaki çözünme hızı, çökme hızından fazladır. Ancak çözeltideki iyon derişimi arttıkça çökme hızı artar ve bir süre sonra çözünme hızı ile çökme hızı eşitlenir.
Kimyasal tepkimelerde de aynı şekilde bir dinamik denge oluşabilmesi için tepkimenin çift yönlü gerçekleşebiliyor olması gereklidir.
- Tam verimli gerçekleşen tepkimelerde reaktif maddelerden en az biri bir süre sonra tamamen tükenir ve dinamik denge oluşmaz. Bu tür tepkimeler tek yönlü olduklarından geriye doğru bir rekatif oluşumu gerçekleşmez.
Birçok tepkimede tam verim olmaz. Yani ortamda daha tepkimeye girebilecek reaktifler olmasına rağmen tepkimedeki ürün miktarı değişmez. Bu tür tepkiemelere tersinir (çift yönlü olaylar) tepkimeler denir. Bu reaksiyonlar çift yönlü ok "\(\ce{<=>}\)" sembolü ile gösterilir. Bu şekilde kapalı bir kapta sabit sıcaklıkta gerçekleşen çift yönlü reaksiyonlara kimyasal denge reaksiyonu denir.
Kimyasal denge durumunda ileri ve geri tepkime hızları eşit olduğundan sistemdeki madde miktarında bir değişim olmaz. Bu durum dinamik denge olarak tanımlanır.
Kimyasal tepkimelerde denge varsa denge anında derişimler sabitlenmektedir.
Tepkimelerde Tersinirlik
Bir tepkimenin tersinir (çift yönlü) olup olmadığının anlaşılabilmesi için,
- Maksimum düzensizlik eğilimi
- Minimum enerji eğilimi
Faktörlerinin karşılaştırılması gereklidir.
Maksimum düzensizlik ve minimum enerji eğilimi zıt yönlere doğru olan tepkimeler çift yönlü gerçekleşebilen tepkimelerdir. Bu eğilimler aynı yöne doğru olan tepkimeler genellikle tek yönlüdür.
Maksimum Düzensizlik Eğilimi
Entropi artış isteği veya daha düzensiz duruma geçme isteği olarak da düşünülebilir.
Belirlenmesinde maddelerin fiziksel halleri ve mol sayıları önemlidir.
Gazlar sıvılara göre ve sıvılar katılara göre daha düzensizdir.
- \(\ce{H2O(k) <=> H2O(s)}\) (Maksimum düzensizlik eğilimi ürünler yönündedir)
- \(\ce{C2H5OH(s) <=> C2H5OH(g)}\) (Maksimum düzensizlik eğilimi ürünler yönündedir)
Mol sayısı fazla olan gaz, az olan gaza göre daha düzensizdir.
- \(\ce{N2(g) + 3H2(g) <=> 2NH3(g)}\) (Maksimum düzensizlik eğilimi girenler yönündedir)
Bir katı bir sıvıda çözünürse düzensizliği artar. Bir gaz bir sıvıda çözünürse düzensizliği azalır.
- \(\ce{C6H12O6(k) <=> C6H12O6(suda)}\) (Maksimum düzensizlik eğilimi ürünler yönündedir)
- \(\ce{CO2(g) <=> CO2(aq)}\) (Maksimum düzensizlik eğilimi girenler yönündedir.)
Atomlar, tek cins atomdan oluşan moleküllere göre daha düzensiz, bu moleküller de bileşiklere göre daha düzensizdir. (Yani en düzenlileri bileşik molekülü, sonra element molekülleri, sonra atomlardır)
- \(\ce{H2(g) + Cl2(g) <=> 2HCl(g)}\) (Maksimum düzensizlik eğilimi girenler yönündedir)
Minimum Enerji Eğilimi

Minimum enerjiye geçme isteği veya daha düşük enerjili olma isteği olarak düşünülebilir.
Belirlenmesinde tepkimenin entalpi değişimi önemlidir.
- Ekzotermik tepkimelerde ürünlerin potansiyel enerjisi daha düşük olduğundan minimum enerji eğilimi ürünler yönündedir.
- Endotermik tepkimelerde girenlerin potansiyel enerjisi daha düşük olduğundan minimum enerjiye eğilim girenler yönündedir.
- \(\ce{X + Y <=> T + Heat}\) (Minimum enerji eğilimi ürünler yönündedir)
- \(\ce{X + Heat <=> Y}\) (Minimum enerji eğilimi girenler yönündedir)
\(\ce{N2(g) + 3H2(g) <=> 2NH3(g) + 92kJ}\) denklemine göre; maksimum düzensizlik girenlere doğru eğilimli ve minimum enerji ürünlere doğru eğilimlidir.
\(\ce{C2H6(g) <=> C2H4(g) + H2(g)},\quad\Delta H > 0\) denklemine göre; maksimum düzensizlik ürünlere doğru eğilimli ve minimum enerji girenlere doğru eğilimlidir.
Yukarıdaki tepkimelerin her ikisi de tersinirdir ve kapalı kapta bir denge oluştururlar.
Denge Sabiti

Şekil-5432'de \(\ce{N2 + 3H2 <=> 2NH3}\) kimyasal denklemi için geçen zamana bağlı olarak maddelerin mol değişimi verilmiştir.
Başlangıçta 10 mol \(N_2\) ve 40 mol \(H_2\) gazları varken tepkime süresince bu değerler tepkimedeki katsayılar ile orantılı olarak azalmış ve belirli zamanlardaki ortamda bulunan reaktif ve ürün miktarları tabloya yazılmıştır. Tablodaki değişime göre 15.dk da tepkime derişimleri sabitlenmiştir.

Tepkime dengeye ulaştığında madde miktarları sabit kalır. Denge anında ileri hız ile geri hız birbirine eşittir.
Dengede hiçbir şeyin derişimi sıfırlanmaz. Eğer grafikte bir ürünün veya girenin derişiminin sıfıra ulaştığı görülüyorsa, bu kimyasal tepkime dengede değildir.

\(\ce{N2(g) + 3H2(g) <=> 2NH3(g)}\) tepkimesine göre ileri ve geri reaksiyon hız ifadelerini yazalım.
- \(r_{ileri} = k_{ileri}.[N_2].[H_2]^3\)
- \(r_{geri} = k_{geri}.[NH_3]^2\)
Denge anında hızları birbirine eşit olacağından,
- \(r_{ileri}= r_{geri} \quad\to\quad k_{ileri}.[N_2].[H_2]^3=k_{geri}.[NH_3]^2\)
İleri ve geri hız sabitlerinin oranı yeni bir sabit olarak denge sabitine \((K_c)\) eşittir.
\[K_{c}=\frac{k_{ileri}}{k_{geri}} = \frac{[NH_3]^2}{[N_2].[H_2]^3} = \frac{\text{Ürünler}}{\text{Girenler}} \]
Sabit sıcaklıktaki \(k_{ileri}/k_{geri}\) nin değeri de sabittir. Bu sabit değer derişimler türünden denge sabiti olarak adlandırılır ve \(K_c\) ile gösterilir.
- Denge bağıntılarında katılar ve sıvılar yerine 1 yazılır. Çünkü hız bağıntısından türetilir.
- Denge bağıntılarında gazlar, sıvıda çözünmüş moleküller ve iyonlar yazılır.
- Bir tepkimenin denge sabiti sadece sıcaklık etkisiyle değişir.
\[\ce{2CO(g) + O2(g) <=> 2CO2(g)},\quad K_c=\frac{[CO_2]^2}{[CO]^2.[O_2]} \]
\[\ce{NO(g) + Cl2(g) <=> NOCl2(g)},\quad K_c=\frac{[NOCl_2]^2}{[NO].[Cl_2]} \]
\[\ce{Pb^{2+}(aq) + 2Fe^{3+}(aq) (g) <=> Pb^{4+}(aq) + 2Fe^{2+}(aq)},\quad K_c=\frac{[Pb^{+4}].[Fe^{2+}]^2}{[Pb^{2+}].[Fe^{3+}]^2} \]
\[\ce{CaO(k) + CO2(g) <=> CaCO_3(k)},\quad K_c=\frac{1}{[CO_2].1} \]
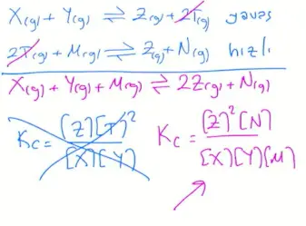
- Birden fazla basamak sonucu gerçekleşen tepkimelerin denge bağıntıları net tepkime denklemine göre yazılır. En yavaş basamağın denklemine göre değil!
- Reaksiyona girenlerin ve ürünlerin aynnı fazda olduğu denge reaksiyonlarına homojen denge denir.
- Reaktif ve ürünlerden farklı fazlarda olanların bulunduğu reaksiyonlara heterojen denge denir.
Kısmi Basınçlar Türünden Denge Sabiti (Kp)
Gaz fasında gerçekleşen denge tepkimelerinde molar derişimler ile kısmi basınçlar doğru orantılıdır.
Denge bağıntısı maddelerin kısmi basınç değerleri kullanılarak yazılabilir. Buna kısmi basınçlar türünden denge sabiti denir ve \(k_p\) ile gösterilir.
\(\ce{N2(g) + 3H2(g) <=> 2NH3(g)}\) için \(K_c\) ve \(K_p\) bağıntıları aşağıdaki gibidir.
\[K_c = \frac{[NH_3]^2}{[N_2].[H_2]^3} \]
\[K_p = \frac{(P_{NH3})^2}{(P_{N2}).(P_{H2})^3} \]
- \(K_p\) değeri de sabit sıcaklık altında \(K_c\) deperi gibi değişmez.
- \(K_p\) bağıntısında sadece gazla, \(K_c\) bağıntısında ise gazlar ve sulu çözeltiler yer alır.
Kp ile Kc Ilişkisi
İdeal gaz denkleminden yola çıkarak kısmi basınç yerine bulunan değerler denklemde kullanılırsa \(K_p\) ile \(K_c\) arasında bir bağıntı oluşturulur.
- \(\ce{aX(g) + bY(g) <=> cZ(g)},\quad K_c=[Z]^c / ([X]^a.[Y]^b)\)
Yukarıdaki tepkimede gazlar için,
- \(P.V=n.R.T \Rightarrow P=(n/V).R.T \Rightarrow P=M.R.T\)
- \(P_X = [X].R.T,\quad P_Y = [Y].R.T,\quad P_Z=[Z].R.T\)
\[K_P = \frac{(P_Z)^c}{(P_X)+a.(P_Y)^b} \quad\to\quad K_P = \frac{([Z].R.T)^c}{([X].R.T)^a.([Y].R.T)^b} \]
\[K_P = \frac{[Z]^c}{[X]^a.[Y]^b}.\frac{(R.T)^c}{(R.T)^a.(R.T)^b} \]
- \(K_P = K_C.(R.T)^{(c-a-b)}\)
\[K_p=K_c.(R.T)^{\Delta n} \]
- \(\Delta n\): Ürünlerdeki gazların katsayıları toplamından, girenlerdeki gazların katsayıları toplamı çıkarılarak bulunur.
A.K.A: Köpek Kaçırtan
Questions




- Cevap 134,4 olacak.
