Fonksiyonlar-3

Fonksiyonlarda Dört İşlem

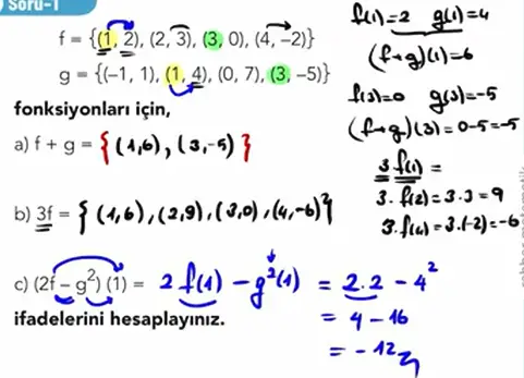
A ve B ayrık olmayan iki küme olmak üzere,

\(f:A\to R\) ve \(g:B\to R\) fonksiyonları için;

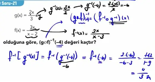
Ters Fonksiyon

\(f:A\to B\) ve \(f(x)\) fonksiyonu bire bir ve örten ise f fonksiyonunun tersi \(f^{-1}:B\to A\) tanımlıdır.


Bir fonksiyonun tersini bulmak için x yalnız bırakılır. Ardından x yerine y, y yerine x yazılır.

  • \(f(x)=y=ax+b\) ise \(f^{-1}(x)=y=(x-b)/a\)

Başka bir fonksiyon tersinin değerini bulma yöntemi ise \(f(x)=y\) denklemini \(f^{-1}(y)=x\) şeklinde yazmaktır.

  • Örneğin: \(f(x)=7x-6\) ise \(f^{-1}(15)=y\),
  • \(f(y)=7y-6=15\), \(y=3\) olarak bulunur.

Bileşke Fonksiyon

\(f:A\to B\) ve \(g:B\to C\) olmak üzere,

A kümesinin elemanlarını C kümesinin elemanlarına eşleyen fonksiyona f ile g nin bileşke fonksiyonu denir.

bileske-fonksiyon.excalidraw.svg

I birim fonksiyon olmak üzere,

  • \(f\ne g\ne I\) ise \((fog)(x)\ne (gof)(x)\)
  • \((f^{-1}of)(x)=I(x)=x\)
  • \((fog)^{-1}(x)=(g^{-1}of^{-1})(x)\)


Questions


Easy

SST5LTB2.webp


SST5LTK5.webp


SST5LTR0.webp


SST5LTXS.webp


SST5LUVU.webp


SST5LVKJ.webp


SST5LVPI.webp


SST5LVT9.webp


SST5LW9D.webp


SST5LWE7.webp


SST5LWIU.webp


SST5LWNI.webp


SST5LWVX.webp


SST5LX20.webp


SST5LXM2.webp


SST5LXR4.webp


SST5LXZ6.webp


SST5LY5Q.webp


SST5LYAU.webp


SST5LYHR.webp


SST5LYT5.webp

  • Bu soruyu tekrar çözmeliyim.

SST5LYZK.webp